[야구공작소 김지호] 야구 중계를 듣다 보면 “저 선수는 주무기를 더 던질 필요가 있어요.” 와 같은 류의 해설자의 멘트를 들을 수 있다. 나는 그 말이 조금 불편하다. 이 글은 수십년을 지켜봐도 내게는 아직 어려운 야구의 볼배합에 정석이 과연 존재하는지 진지하게 고민하며 나름대로 생각을 정리한 흔적이다.
예전에는 투수용 글러브에 검지 손가락이 노출되어 있었다. 하지만 그립을 바꿔 쥐는 동안 미세하게 포착된 검지의 움직임이 구종 노출로 이어지자 투수 글러브에 뚫려 있던 검지 구멍은 사라졌다고 전해진다. 이처럼 구종의 예측 가능성은 타격의 생산성과 밀접하게 관련된다.
타자 입장에서 투수가 어떤 공을 던질지 예측한다고 하자. 구종의 예측 가능성에 영향을 미치는 첫번째 조건은 구종의 개수다. 당연히 한 가지 구종을 던지는 투수보다는 네 가지 구종을 던지는 투수의 구종 예측이 어렵다. 그렇다면 똑같이 네 가지 구종을 던지는 투수들은 예측 가능성이 동일할까?

패스트볼을 중심으로 커브, 슬라이더, 체인지업을 가끔 섞어 던지는 투수A에 비해 투수B는 특정 구종에 치우침 없이 모두 동일한 비율로 구사하는 스타일이다. 똑같은 네 가지 구종을 가진 투수라도 구종 간 구사 비율의 차이가 작을수록 예상이 어려울 것임을 쉽게 알 수 있다.
여기서 한 걸음 더 들어가 본다. 위 A, B 투수에 더해 세 가지 구종을 동일 비율로 던지는 투수C가 있다면 투수C와 투수A 중 누구의 구종 예측이 더 어려울까? 투수A는 구종이 많지만 구사 비율이 패스트볼에 쏠려 있고 투수C는 구종은 적지만 구사 비율이 고르게 분포해 직접 비교하기는 쉽지 않다.
이런 경우 어떻게 두 투수의 구종 예측 가능성을 비교할 수 있을까? 구종은 구종 수가 많아질수록, 구종 간 구사 비율의 차이가 작을수록 예측하기 어렵다. 이 점을 하나의 식으로 나타내기 위해 일반적으로 ‘무질서도’를 나타내는 ‘엔트로피’의 개념을 차용했다. 엔트로피가 높을수록 구종 구사가 무질서하고, 무질서할수록 구종을 예측하기 어려울 것이라 생각할 수 있다.

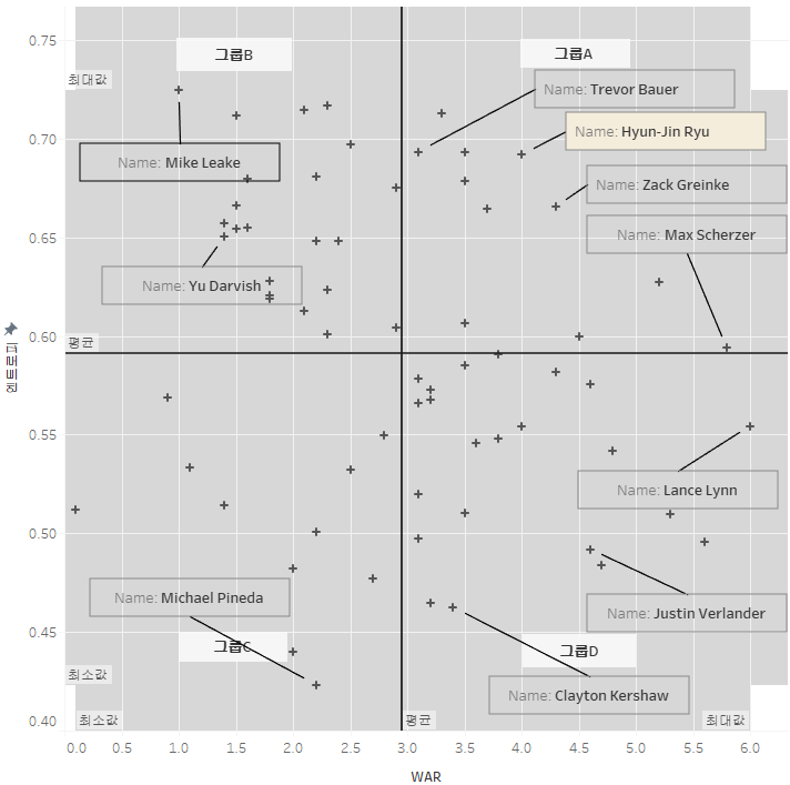
8월 30일까지, 메이저리그 선발 투수 중 규정이닝을 넘은 선수 67인의 엔트로피를 계산해 본 결과는 아래와 같다. 이들의 팬그래프 기준 WAR 평균은 2.95, 엔트로피 평균은 0.59였다. 아래 그림은 편의상 두 변수의 평균을 기준으로 A~D까지 그룹을 나누어서 표시했다.

(그룹별 선수 상세 명단은 Appendix 참조)
그룹A는 WAR과 엔트로피 모두 평균을 상회하는 그룹이다. 구종의 예측 난이도도 평균보다 높고 성적도 평균 이상으로 잘 던지고 있는 투수들의 묶음이다. 류현진, 그레인키, 오도리지, 바우어 등이 속해 있다.
그룹B는 WAR은 평균보다 낮고 엔트로피는 평균보다 높은 투수들의 묶음이다. 다양한 구종을 보유했든, 구종간 구사 비율이 차이를 낮게 유지하든, 각자의 방식으로 엔트로피를 평균보다 높게 유지하지만 시즌 성적은 신통치 않은 그룹이다. 적어도 이 그룹의 투수들에게 부진한 성적을 논함에 있어서 “구종 추가(!)”는 올바른 처방이 아닐것이다.
그룹C는 WAR과 엔트로피가 모두 평균 이하인 그룹이다. 어떤 이유로 부진한지는 알 수 없지만 구종의 예측 가능성을 낮춘다는 측면에서 구종 구사율 조정이나 구종 추가가 한 가지 처방이 될 수 있는 그룹이다.
그룹D는 평균 이상의 성적을 거두고 있지만 엔트로피는 평균 이하인 선수들의 그룹이다. 구종의 예측 난이도는 그룹A에 비해 높지 않지만 좋은 성적을 내고 있는 선수들이다. 커쇼, 지올리토, 콜, 범가너, 세일, 소로카, 뷸러 등이 여기에 해당한다. D그룹의 선수들이 주무기로 삼고 있는 구종은 대개 패스트볼과 슬라이더다. 아래 표에서 D그룹 선수들은 자신의 주무기를 중심으로 A그룹의 선수들보다 단순하게 피칭 레퍼토리를 구성하고 있음을 확인할 수 있다.

타자가 알고도 치기 힘든 공을 던질 수만 있다면 구종 밸런스고 뭐고 고민할 필요도 없다. 하지만 운동능력, 피지컬 등의 한계로 모든 선수가 전부 D그룹에 들어갈 수는 없다. 그리고 영원히 D그룹에 머무를 수도 없다. 에이징커브는 누구에게나 공평하기 때문이다.
에이징커브가 친구로 지내자며 접근해올 때 투수의 가장 이상적인 대응은 기교파로의 변신을 시도하고, 구종을 다각화해 떨어진 구위를 상쇄하면서 A그룹으로 이동하는 것이다. 물론 어떤 전직 D그룹의 선수는 구종 추가 없이 “남자는 주먹”을 외치다가 C그룹으로 밀려난 채 커리어를 마감할 수도 있다. 또 다른 전직 D그룹의 선수는 구종을 추가했으나 추가한 구종이 떨어진 구위를 상쇄할 만큼 효과적으로 작동하지 않아 시행착오를 거듭하다가 B그룹에서 커리어를 마감할 수도 있다.
아래 그림에서는 엔트로피에 대한 인식의 온도가 팀별로도 다름을 확인할 수 있다. 이 표만으로 어느 팀이 구종 간 비율 차이와 구종 개수 등에 더 집착한다고 단정하기는 어렵다. 팀별로도 엔트로피 차이가 있음을 확인하는 것이 적당할 것이다.

지금까지 WAR과 엔트로피를 좌표에 표시하고 평균을 중심으로 그룹을 나누어 각 그룹의 특징과 해당되는 선수들을 살펴보았다. 결론적으로 엔트로피가 WAR과 밀접한 관계가 있는 변수가 아님을 알 수 있다(두 변수의 회귀분석 결과도 R^2=0.04에 불과했다). 각 구종의 가치를 고려하지 않았기 때문이다.
엔트로피의 주된 문제점은 구종별 가치를 고려하지 않고 있다는 점이다. 선수마다 주무기가 있는데 이것이 논의에서 빠진 것이다. 구종의 예측 가능성을 가늠하는 작업에 투수의 구종가치가 추가되면 단순히 엔트로피를 도입해서 줄세우는 앞선 논의와는 사뭇 다른 접근이 필요하다.
(볼배합의 정석(定石)을 찾아서 (2/2)편에서 계속)
에디터 = 야구공작소 오연우, 송민구
ⓒ야구공작소. 출처 표기 없는 무단 전재 및 재배포를 금합니다. 상업적 사용은 별도 문의 바랍니다.
<Appendix : 그룹별 fWAR & 엔트로피 리스트 >




댓글 남기기